ชื่อผู้ใช้  
ผู้ปกครอง
จำรหัสผ่าน
 
 
บทความโครงการ นักศึกษา
1. ชื่อโครงการ การสร้างและหาประสิทธิภาพแอพลิเคชั่นควบคุมพัดลม
2. จัดทำโดย
    1. นายนนทวัฒน์ สีเทา
    2. นายธนกร คำชื่น
    3.
3. อีเมล์
iydgmvohk1@gmail.com , mister.gotx13@hotmail.com
4. บทคัดย่อ
         โครงการฉบับนี้มีวัตถุประสงค์ เพื่อสร้างและหาประสิทธิภาพแอพพลิเคชั่นควบคุมพัดลม โดยแอพพลิเคชั่นสามารถควบคุมพัดลมเปิดปิดหรือเปลี่ยนความเร็วของใบพัดตามเบอร์ที่กำหนดไว้ได้ตามต้องการหรือปรับการสวิงของหน้าพัดลมได้โดยสามารถปรับผ่านแอพพลิเคชั่นได้เลย
         การดำเนินการโครงการใช้ กลุ่มตัวอย่างเป็นนักศึกษาระดับประกาศนียบัตรวิชาชีพ (ปวช.) สาขางานเทคนิคคอมพิวเตอร์ วิทยาลัยเทคนิคแพร่ ในภาคเรียนที่ 2 ปีการศึกษา 2559 จำนวน 20 คน โดยการวิเคราะห์ข้อมูลด้วยการหาค่าเฉลี่ย (  ) และค่าความเบี่ยงเบนมาตรฐาน (S.D.) โดยมีการสอนการใช้แอพพลิเคชั่นในครั้งแรก จากนั้นจึงให้ทดลองใช้แอพพลิเคชั่นด้วยตนเอง เสร็จแล้วให้นักศึกษาตอบแบบสอบถามความพึงพอใจในการใช้งานระบบ ผลการดำเนินการวิจัย พบว่า แอพพลิเคชั่นควบคุมพัดลม ผู้ใช้มีความพึงพอใจอยู่ในระดับมาก โดยมีค่าเฉลี่ย 3.94
5. บทนำ
         ปัจจุบันความก้าวหน้าด้านวิทยาศาสตร์และเทคโนโลยีทำให้มีการพัฒนาคิดค้นสิ่งอำนวยความสะดวกสบายต่อการดำรงชีวิตเป็นอันมาก เทคโนโลยีได้เข้ามาเสริมปัจจัยพื้นฐานการดำรงชีวิตได้เป็นอย่างดี เทคโนโลยีทำให้การสร้างที่พักอาศัยมีคุณภาพได้มาตรฐาน สามารถผลิตสินค้าและให้บริการต่างๆเพื่อตอบสนองความต้องการของมนุษย์มากขึ้น เทคโนโลยีทำให้ระบบการผลิตสามารถผลิตสินค้าได้เป็นจำนวนมากมีราคาถูก สินค้าได้คุณภาพ เทคโนโลยีทำให้มีการติดต่อสื่อสารกันได้สะดวก  การเดินทางเชื่อมโยงถึงการทำให้ประชากรในโลกติดต่อรับฟังข่าวสารกันได้ตลอดเวลา  พัฒนาการของเทคโนโลยีทำให้ชีวิตความเป็นอยู่เปลี่ยนไปมาก สถานศึกษาทุกแห่งจึงนำคอมพิวเตอร์มาใช้ในการเรียนการสอนและถูกบรรจุให้เป็นรายวิชาในการเรียนการสอน เพื่อให้ผู้เรียนเกิดทักษะการใช้งานคอมพิวเตอร์ทั้งด้านฮาร์ดแวร์และซอฟต์แวร์ในคอมพิวเตอร์อย่างมีประสิทธิภาพสูงสุด
         ในปัจจุบันได้เกิดภาวะโรคร้อนขึ้น สาเหตุที่ทำให้เกิดภาวะโลกร้อนก็เพราะว่าก๊าซเรือนกระจกที่เพิ่มขึ้นจากการทำกิจกรรมต่างๆของมนุษย์ ไม่ว่าจะเป็นการเผาผลาญถ่านหินและเชื้อเพลิง รวมไปถึงสารเคมีที่มีส่วนผสมของก๊าซเรือนกระจกที่มนุษย์ใช้ และอื่นๆอีกมากมาย จึงทำให้ก๊าซเรือนกระจกเหล่านี้ลอยขึ้นไปรวมตัวกันอยู่บนชั้นบรรยากาศของโลก ทำให้รังสีของดวงอาทิตย์ที่ควรจะสะท้อนกลับออกไปในปริมาณที่เหมาะสม กลับถูกก๊าซเรือนกระจกเหล่านี้กักเก็บไว้ ทำให้อุณหภูมิของโลกค่อยๆสูงขึ้นจากเดิม ซึ่งผลกระทบของภาวะโลกร้อนนั้นก็มีให้เราเห็นกันอยู่บ่อยๆ สภาพลมฟ้าอากาศที่ผิดแปลกไปจากเดิม ภัยธรรมชาติที่รุนแรงมากขึ้น น้ำท่วม แผ่นดินไหว พายุที่รุนแรง อากาศที่ร้อนผิดปกติจนมีคนเสียชีวิต รวมไปถึงโรคระบาดชนิดใหม่ๆ หรือโรคระบาดที่เคยหายไปจากโลกนี้แล้วก็กลับมาให้เราได้เห็นใหม่ และพาหะนำโรคที่เพิ่มจำนวนมากขึ้น
โลกเรานั้นยิ่งร้อนขึ้นทุกวัน เราก็ไม่สามารถบรรเทาโลกเราให้เย็นขึ้นได้ด้วยตัวเราเอง แต่เราทำให้ตัวเราเองบรรเทาความร้อนได้ โดยมนุษย์เราจะมีเครื่องอำนวยความสะดวกสร้างความเย็นขึ้นโดยใช้พลังงานไฟฟ้า ยกตัวอย่างเช่นพัดลม พัดลมนั้นถือว่าได้จำเป็นต่อการใช้ชีวิตประจำวันหรือในการทำงานมากทั้งในบ้านหรือสถานที่ต่างๆ แต่พัดลมบางยี่ห้อก็ไม่มีรีโมทที่จะเปิด-ปิดระยะที่เกินมือเอื้อมถึงได้ แต่กระนั้นบางคนก็ขี้เกียจที่จะลุกขึ้นไปเปิด-ปิดพัดลมหรือเร่ง-ลดความแรงลมเพราะพัดลมบางยี่ห้อไม่มีรีโมทที่จะเปิด-ปิดระยะที่เกินมือเอื้อมถึงได้ หรือในที่ที่มีผู้คนเป็นจำนวนมากอย่างเช่นสำนักงาน สถานที่จัดงานต่างๆ เพราะมีผู้คนเป็นจำนวนมากจึงทำให้การเข้าไปเปิด-ปิดหรือเร่ง-ลดความแรงลมทำได้ยาก
         ดังนั้น ผู้จัดทำโครงการจึงได้เสนอโครงการการสร้างและหาประสิทธิภาพ Application ควบคุมพัดลมเพื่อใช้ในงานต่างๆที่ไม่สะดวกในการลุกไปปรับ
 
6. วัตถุประสงค์ของการวิจัย
1)  เพื่อสร้าง Application สำหรับการควบคุมพัดลม
2)  เพื่อหาประสิทธิภาพในการใช้งาน Application และอุปกรณ์พัดลม
 
7. ขอบเขตของการวิจัย
แอพพลิเคชั่นภาษาซี มีรายละเอียดดังนี้
1.  ด้านเนื้อหา
     1.1  การเขียนและออกแบบแอพพลิเคชั่น มีรายละเอียดดังนี้
           (1)  ใช้ภาษาซีในการเขียน
           (2)  ใช้โปรแกรม app inventor
           (3)  โครงสร้างภาษาซี
           (4)  คำสั่งในการเขียน
           (5)  คำสั่งควบคุมอุปกรณ์
2.  ด้านขอบข่าย
     2.1  ความสามารถของ Application
           (1)  สามารถควบคุมการเปิด-ปิดพัดลมในระยะไม่เกิน 10 เมตร
           (2)  สามารถควบคุมการเร่ง-ลดความแรงลมของพัดลมในระยะไม่เกิน 10 เมตร
           (3)  สามารถควบคุมการสวิงพัดลมให้หมุนหรือหยุดตามที่เรากำหนดได้
 
8. สมมุติฐาน
     แอพพลิเคชั่นนี้สามารถควบคุมการเปิดปิดเร่งลดหรือปรับสวิงพัดลมได้ในระยะที่ห่างออกไปหรือที่ที่เราไม่สะดวกที่จะเข้าไปปรับตรงพัดลมได้
9. วิธีดำเนินการวิจัย
   1 ) ศึกษาข้อมูลเพื่อเตรียมการโครงการ ผู้จัดทำได้ศึกษาข้อมูลเกี่ยวกับการวิเคราะห์และออกแบบแอพพลิเคชั่นควบคุมพัดลม
   2 ) วิเคราะห์ข้อมูลเกี่ยวการทำงานของระบบและกำหนดขอบเขตเพื่อให้ตรงกับความต้องการของผู้ใช้งาน
   3 ) การสร้างและพัฒนาแอพพลิเคชั่นควบคุมพัดลม
   4 ) ทดสอบหาประสิทธิภาพของแอพพลิเคชั่นควบคุมพัดลม มีการใช้แบบประเมินประสิทธิภาพนวัตกรรมจากผู้เชี่ยวชาญ และแบบประเมินความพึงพอใจจากผู้ทดลองใช้
   5 ) กำหนดกลุ่มตัวอย่าง คือนักศึกษาระดับประกาศนียบัตรวิชาชีพ (ปวช.) สาขางานเทคนิคคอมพิวเตอร์สาขาวิชา ไฟฟ้าและอิเล็กทรอนิกส์ วิทยาลัยเทคนิคแพร่ สำนักงานคณะกรรมการการอาชีวศึกษา จำนวน 20 คน วิธีการเลือกแบบเฉพาะเจาะจง
   6 ) สอนการใช้งานแอพพลิเคชั่นควบคุมพัดลมให้กับที่เป็นกลุ่มตัวอย่าง
   7 ) นักศึกษาทดลองใช้แอพพลิเคชั่นควบคุมพัดลม
9.1 ประชากรและกลุ่มตัวอย่าง
         นักศึกษาระดับประกาศนียบัตรวิชาชีพ (ปวช.) สาขางานเทคนิคคอมพิวเตอร์ สาขาวิชาไฟฟ้าและอิเล็กทรอนิกส์ วิทยาลัยเทคนิคแพร่ กลุ่มตัวอย่างที่นำมาศึกษา มีจำนวน 20 คน โดยใช้วิธีการเลือกแบบเจาะจง
9.2 สร้างเครื่องมือที่ใช้ในโครงการ
         การสร้างและหาประสิทธิภาพแอพพลิเคชั่นควบคุมพัดลม มีขั้นตอนในการออกแบบ โดยมีรายละเอียด ดังต่อไปนี้

                       ภาพที่ 1 ลำดับขั้นตอนการดำเนินโครงการ

1.  วิเคราะห์สภาพปัญหาหรือประเมินความต้องการของผู้ใช้งานนวัตกรรม
2.  ศึกษาทฤษฎีและหลักการที่เกี่ยวข้อง
3.  กำหนดขอบเขตของแอพพลิเคชั่น ทรัพยากร
4.  การสร้างและหาประสิทธิภาพ Application ควบคุมพัดลม
             
                       ภาพที่ 2  แผนผังการทำงานของแอพพลิเคชั่น


                       ภาพที่ 3  การทำงานของระบบควบคุมพัดลม

5.  วิธีการใช้งานโปรแกรม
    1)  ทำการเชื่อมต่อ Bluetooth ภายในเครื่องโทรศัพท์ Android ดังแสดงในภาพที่ 4
                            
                            ภาพที่ 4  เชื่อมต่อ Bluetooth ภายในเครื่อง

    2)  ทำการจับคู่ Bluetooth ภายในเครื่องโดยการใส่รหัสผ่านในการจับคู่คือ 1234 ดังแสดงในภาพที่ 5
                            
                            ภาพที่ 5  การจับคู่ Bluetooth ภายในเครื่อง

    3)  ทำการเปิดแอพพลิเคชั่นควบคุมพัดลม ดังแสดงในภาพที่ 6
                            
                ภาพที่ 6  เปิดแอพพลิเคชั่นควบคุมพัดลม ControlFanSpeed

    4)  จะแสดงหน้าของแอพพลิเคชั่น ดังแสดงในภาพที่ 7
                            
                                   ภาพที่ 7  หน้าของแอพพลิเคชั่น

    5)  ทำการเชื่อมต่อ Bluetooth ภายในแอพพลิเคชั่นโดยกดที่รูป Bluetooth ดังแสดงในภาพที่ 8
                            
                  ภาพที่ 8  ทำการเชื่อมต่อ Bluetooth ภายในแอพพลิเคชั่น

    6)  ทำการเลือกรายชื่อของ Bluetooth ที่เราเลือกไว้ในขั้นตอนที่ 1 ดังแสดงในภาพที่ 9
                            
                              ภาพที่ 9  ทำการเลือกรายชื่อของ Bluetooth

    7)  เมื่อเลือกรายชื่อของ Bluetooth เสร็จแล้ว จะกลับมาหน้าแรกของแอพพลิเคชั่น ดังแสดงในภาพที่ 10
                            
                                  ภาพที่ 10  หน้าของแอพพลิเคชั่น

    8)  ทำการเลือก Speed ความเร็วของพัดลมเบอร์ 1 2 3 ตามที่ต้องการได้ ดังแสดงในภาพที่ 11
                            
                        ภาพที่ 11  เลือก Speed ความเร็วของพัดลม

    9)  ทำการเลือก Swing ON ของหน้าพัดลมเพื่อปรับการสวิงของหน้าของพัดลม ดังแสดงในภาพที่ 12
                            
                     ภาพที่ 12  ทำการเลือก Swing ON ของหน้าพัดลม

    10)  ทำการเลือก Swing OFF ของหน้าพัดลมเพื่อปรับการหยุดสวิงของหน้าของพัดลม ดังแสดงในภาพที่ 13
                            
                      ภาพที่ 12  ทำการเลือก Swing OFF ของหน้าพัดลม

    11)  ทำการปิดพัดลมโดยการเลือก Speed 0 ดังแสดงในภาพที่ 14
                            
                                  ภาพที่ 14  ทำการปิดพัดลม

    12)  ทำการปิดแอพพลิเคชั่นโดยเลือก Exit ดังแสดงในภาพที่ 15
                            
                                 ภาพที่ 15  การปิดแอพพลิเคชั่น

6. ออกแบบเครื่องมือที่ใช้ประเมินประสิทธิภาพ

                         แบบฟอร์มการตรวจสอบคุณภาพแบบสอบถาม

        ตารางที่ 1  แบบฟอร์มการตรวจสอบคุณภาพแบบสอบถามของผู้ทรงคุณวุฒิ


                         การวิเคราะห์เลือกคำถามจากผู้ทรงคุณวุฒิ

        ตารางที่ 2  การวิเคราะห์เลือกคำถามจากผู้ทรงคุณวุฒิ


แสดงการคิดคำนวณค่า IOC
                   ข้อ 1   ผลรวมของคะแนนผู้เชี่ยวชาญ เท่ากับ 3
                            จำนวนผู้เชี่ยวชาญ  3  คน
                            ค่า IOC เท่ากับ 3/3 = 1
                            มีค่ามากกว่า 0.5 ถือว่าคำถามข้อนี้ใช้ได้
                   ข้อ 2   ผลรวมของคะแนนผู้เชี่ยวชาญ เท่ากับ 3
                            จำนวนผู้เชี่ยวชาญ  3  คน
                            ค่า IOC เท่ากับ 3/3 = 1
                            มีค่ามากกว่า 0.5 ถือว่าคำถามข้อนี้ใช้ได้
                       ข้อ 3   ผลรวมของคะแนนผู้เชี่ยวชาญ เท่ากับ 2
                            จำนวนผู้เชี่ยวชาญ  3  คน
                            ค่า IOC เท่ากับ 2/3 = 0.667
                            มีค่ามากกว่า 0.5 ถือว่าคำถามข้อนี้ใช้ได้
                   ข้อ 4   ผลรวมของคะแนนผู้เชี่ยวชาญ เท่ากับ 3
                            จำนวนผู้เชี่ยวชาญ  3  คน
                            ค่า IOC เท่ากับ 3/3 = 1
                            มีค่ามากกว่า 0.5 ถือว่าคำถามข้อนี้ใช้ได้
                   ข้อ 5   ผลรวมของคะแนนผู้เชี่ยวชาญ เท่ากับ 3
                            จำนวนผู้เชี่ยวชาญ  3  คน
                            ค่า IOC เท่ากับ 3/3 = 1
                            มีค่ามากกว่า 0.5 ถือว่าคำถามข้อนี้ใช้ได้
                   ข้อ 6   ผลรวมของคะแนนผู้เชี่ยวชาญ เท่ากับ 3
                            จำนวนผู้เชี่ยวชาญ  3  คน
                            ค่า IOC เท่ากับ 3/3 = 1
                            มีค่ามากกว่า 0.5 ถือว่าคำถามข้อนี้ใช้ได้
                   ข้อ 7   ผลรวมของคะแนนผู้เชี่ยวชาญ เท่ากับ 3
                            จำนวนผู้เชี่ยวชาญ  3  คน
                            ค่า IOC เท่ากับ 3/3 = 1
                            มีค่ามากกว่า 0.5 ถือว่าคำถามข้อนี้ใช้ได้
                   ข้อ 8   ผลรวมของคะแนนผู้เชี่ยวชาญ เท่ากับ 3
                            จำนวนผู้เชี่ยวชาญ  3  คน
                            ค่า IOC เท่ากับ 3/3 = 1
                            มีค่ามากกว่า 0.5 ถือว่าคำถามข้อนี้ใช้ได้
                   ข้อ 9   ผลรวมของคะแนนผู้เชี่ยวชาญ เท่ากับ 3
                            จำนวนผู้เชี่ยวชาญ  3  คน
                            ค่า IOC เท่ากับ 3/3 = 1
                            มีค่ามากกว่า 0.5 ถือว่าคำถามข้อนี้ใช้ได้     
                   ข้อ 10 ผลรวมของคะแนนผู้เชี่ยวชาญ เท่ากับ 3
                             จำนวนผู้เชี่ยวชาญ  3  คน
                             ค่า IOC เท่ากับ 3/3 = 1
                             มีค่ามากกว่า 0.5 ถือว่าคำถามข้อนี้ใช้ได้
                   ข้อ 11 ผลรวมของคะแนนผู้เชี่ยวชาญ เท่ากับ 3
                             จำนวนผู้เชี่ยวชาญ  3  คน
                             ค่า IOC เท่ากับ 3/3 = 1
                             มีค่ามากกว่า 0.5 ถือว่าคำถามข้อนี้ใช้ได้
                   ข้อ 12 ผลรวมของคะแนนผู้เชี่ยวชาญ เท่ากับ 3
                             จำนวนผู้เชี่ยวชาญ  3  คน
                             ค่า IOC เท่ากับ 3/3 = 1
                             มีค่ามากกว่า 0.5 ถือว่าคำถามข้อนี้ใช้ได้

                   แบบประเมินผลความพึงพอใจในการใช้แอพพลิเคชั่นควบคุมพัดลม

        แบบประเมินการใช้แอพพลิเคชั่นควบคุมพัดลมนี้  จัดทำขึ้นเพื่อประเมินผลงานของระบบเครือข่าย ในกลุ่มคณะครูและนักศึกษาในแผนกหรือในคณะครูและนักศึกษาแผนกช่างอื่นๆในวิทยาลัยเทคนิคแพร่ ผลการประเมินของท่านจะเป็นประโยชน์อย่างยิ่งในการปรับปรุงการทำงานแอพพลิเคชั่นควบคุมพัดลม ให้มีความสมบูรณ์และดียิ่งขึ้นไป
คำชี้แจง  แบบประเมินแบ่งออกเป็น 3 ตอน
    ตอนที่ 1     เป็นข้อมูลพื้นฐานของผู้ตอบแบบสอบถาม
    ตอนที่ 2     ด้านความสะดวกในการใช้งานระบบเครือข่ายมีทั้งหมด 3 ด้านดังนี้
                ด้านที่ 1    ด้านโครงสร้าง
                ด้านที่ 2    ด้านการใช้งานระบบเครือข่าย
                ด้านที่ 3     ด้านคุณค่าโดยสรุป
    ตอนที่ 3  เป็นข้อคิดเห็นและข้อเสนอแนะอื่นๆ
ตอนที่ 1  ข้อมูลพื้นฐานทั่วไปของผู้ตอบแบบสอบถาม
โปรดทำเครื่องหมาย  ลงใน  ที่อยู่หน้าข้อความที่เกี่ยวข้องกับผู้ประเมิน
1.เพศ
             ชาย         หญิง
2.อายุ
             ต่ำกว่า 20 ปี     21-30 ปี     31-40 ปี      สูงกว่า 41 ปี
3.อาชีพของท่าน
             นักเรียน/นักศึกษา      ข้าราชการ      อื่นๆ.................................

ตอนที่ 2    เป็นประเมินความพึงพอใจ ในการใช้ระบบเครือข่าย ซึ่งประเมิน
            ทั้งหมด 3 ด้านดังนี้
            ด้านที่ 1 ด้านโครงสร้าง
            ด้านที่ 2 ด้านการใช้งานของระบบเครือข่าย
            ด้านที่ 3 ด้านคุณค่าโดยสรุป
คำชี้แจง     โปรดทำเครื่องหมาย    ลงในช่องที่ตรงกับความเป็นจริงมากที่สุด
                            5 หมายถึง   ในระดับดี มากที่สุด
                            4 หมายถึง   ในระดับดี มาก
                            3 หมายถึง   ในระดับดี ปานกลาง
                            2 หมายถึง   ในระดับดี น้อย
                            1 หมายถึง   ในระดับดี น้อยที่สุด

ตารางที่ 3  แบบประเมินผลความพึงพอใจในการใช้แอพพลิเคชั่นควบคุมพัดลม


ข้อเสนอแนะ
................................................................................................................................
 
9.3 ดำเนินการเก็บรวบรวมข้อมูล
        โครงการครั้งนี้ เลือกนักศึกษาระดับประกาศนียบัตรวิชาชีพ(ปวช.) สาขางานเทคนิคคอมพิวเตอร์ สาขาวิชา ไฟฟ้าและอิเล็กทรอนิกส์ วิทยาลัยเทคนิคแพร่ สำนักงานคณะกรรมการการอาชีวะศึกษา เพื่อหาคำตอบของโครงการครั้งนี้โดยกำหนดเป็นขั้นตอนได้ดังนี้

       ภาพที่ 16  ผังแสดงกระบวนการวิเคราะห์ออกแบบเครื่องมือสำหรับการประเมิน

                  
                       ภาพที่ 17  การใช้งานแอพพลิเคชั่นควบคุมพัดลม

                  
                       ภาพที่ 18  การใช้งานแอพพลิเคชั่นควบคุมพัดลม
9.4 การวิเคราะห์ข้อมูล
1)  การวิเคราะห์คุณภาพของแบบประเมิณ
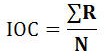
     การหาค่าดัชนีความสอดคล้องระหว่างแบบประเมินและวัตถุประสงค์                                                   
                            
            IOC   คือ ค่าดัชนีความสอดคล้อง(Index of Congruency)
               คือ ผลรวมคะแนนความคิดเห็นของผู้เชี่ยวชาญ
             N      คือ จำนวนผู้เชี่ยวชาญ
2)  การวิเคราะห์หาคุณภาพชุดการสอนจากผู้เชี่ยวชาญ
                แทน คะแนนเฉลี่ย
                แทน ผลรวมของคะแนนทั้งหมด
               N     แทน จำนวนข้อมูล
 3) ส่วนเบี่ยงเบนมาตรฐาน (standard Deviation)
                         
      S.D       คือ ส่วนเบี่ยงเบนมาตรฐานของกลุ่มตัวอย่าง  
         คือ ผลของคะแนนแต่ละตัวยกกำลังสอง
         คือ ผลรวมของคะแนนทั้งหมดยกกำลังสอง
        N       คือ จำนวนข้อมูลของกลุ่มตัวอย่าง 
10. ผลของการวิจัย
          การวิเคราะห์โครงการสร้างและหาประสิทธิภาพแอพพลิเคชั่นควบคุมพัดลม มีการวิเคราะห์โดยแยกเป็นตอนตามวัตถุประสงค์ของการศึกษาและผลการวิเคราะห์ข้อมูลโดยนำเสนอตามลำดับ ดังต่อไปนี้
 
           ผลการวิเคราะห์ข้อมูลนำเสนอรวม 6 ตอน ดังนี้
                        ตอนที่ 1  ผลการวิเคราะห์ข้อมูลประสิทธิภาพของนวัตกรรม
                        ตอนที่ 2  ผลการวิเคราะห์ข้อมูลพื้นฐานของผู้ตอบแบบสอบถาม
                        ตอนที่ 3  ผลการวิเคราะห์ข้อมูลประเมินผลการใช้แอพพลิเคชั่นด้านโครงสร้าง
                        ตอนที่ 4  ผลการวิเคราะห์ข้อมูลประเมินผลการใช้แอพพลิเคชั่นด้านการทำงาน
                        ตอนที่ 5  ผลการวิเคราะห์ข้อมูลประเมินผลการใช้แอพพลิเคชั่นในด้านคุณค่าโดย สรุป
                        ตอนที่ 6  ผลการวิเคราะห์ข้อมูลประเมินผลการใช้แอพพลิเคชั่นด้านภาพรวมทุกด้าน

ตอนที่ 1  ผลการวิเคราะห์ข้อมูลประสิทธิภาพของนวัตกรรม
              ตารางที่ 4  ผลการวิเคราะห์ข้อมูลประสิทธิภาพของนวัตกรรม


จากตาราง 4 สามารถแสดงรูปภาพการทำงานได้ดังนี้
                1)  ขนาดไฟล์ของแอพพลิเคชั่น คือ ขนาดไฟล์แอพพลิเคชั่นที่เขียนสำเร็จแล้วได้ขนาดไฟล์ขนาด 2.38MB ดังแสดงในภาพที่ 19
                        
                           ภาพที่ 19  แอพพลิเคชั่นควบคุมพัดลม

                (2)  น้ำหนังของเครื่อง คือ น้ำหนักรวมหลังจากติดตั้งอุปกรณ์ Arduino  2.5 กิโลกรัม ดังแสดงในภาพที่ 20
                           
                          ภาพที่ 20  พัดลมที่ให้แอพพลิเคชั่นควบคุม

ตอนที่ 5  ผลการวิเคราะห์ข้อมูลพื้นฐานของผู้ตอบแบบสอบถาม
              ตารางที่ 5
 การวิเคราะห์ข้อมูลพื้นฐานของผู้ตอบแบบสอบถาม

              จากตารางที่ 5 พบว่า ผู้ตอบแบบสอบถามทั้ง 20 คน เป็นเพศชาย 20 คน คิดเป็น 100%  และอายุส่วนใหญ่อยู่ในเกณฑ์ 16-21 ปี คิดเป็น 100% ประสบการณ์ในการใช้โปรแกรมคิดเป็น 100%

ตอนที่ 3  ผลการวิเคราะห์ข้อมูลประเมินผลการใช้แอพพลิเคชั่นด้านโครงสร้าง
              ตารางแสดงระดับความพึงพอใจในการใช้แอพพลิเคชั่นควบคุมพัดลม ด้านโครงสร้าง คือในแต่ละฟอร์มการทำงานของแอพพลิเคชั่นควบคุมพัดลมตรงตามความต้องการการใช้งานของ
              ตารางที่ 6 แสดงผลการวิเคราะห์ข้อมูลประเมินผลการใช้แอพพลิเคชั่นด้านโครงสร้าง

              จากตารางที่ 6 พบว่า ความพึงพอใจในการใช้แอพพลิเคชั่นควยคุมพัดลม ด้านโครงสร้าง โดยภาพรวมอยู่ในระดับมาก ( = 3.91) และเมื่อพิจารณาเป็นรายประเมิน พบว่า ทุกรายการประเมินอยู่ในระดับมาก โดยความพึงพอใจในอุปกรณ์ที่ใช้ประกอบตัวเครื่องมีความเหมาะสมเป็นรายการประเมินอยู่ในระดับมากที่สุด มีค่าเฉลี่ย ( = 4.00) และในความพึงพอใจของขนาดไฟล์แอพพลิเคชั่นมีความเหมาะสมประเมินอยู่ในระดับที่น้อยที่สุดคือ มีค่าเฉลี่ย ( = 3.85)

ตอนที่ 4  ผลการวิเคราะห์ข้อมูลประเมินผลการใช้แอพพลิเคชั่นด้านการทำงาน
              ตารางแสดงระดับความพึงพอใจในการใช้แอพพลิเคชั่นควบคุมพัดลม ด้านการทำงาน คือโปรแกรมมีความสะดวกในการใช้งาน ใช้งานได้อย่างราบรื่นและรวดเร็ว
              ตารางที่ 7  แสดงผลการวิเคราะห์ข้อมูลประเมินผลการใช้แอพพลิเคชั่นด้านด้านการทำงาน

              จากตารางที่ 7 พบว่า ความพึงพอใจในการใช้แอพพลิเคชั่นควบคุมพัดลม ด้านการทำงานได้ตามฟังก์ชันการทำงาน โดยภาพรวมอยู่ในระดับพึงพอใจมาก ( = 4.00) โดยความพึงพอใจในการใช้งานได้ง่ายไม่ซับซ้อนเป็นรายการประเมินอยู่ในระดับมากที่สุด มีค่าเฉลี่ย  ( = 4.35) และในความพึงพอใจของตัวเครื่องดูแลซ่อมแซมได้ง่ายเป็นรายการประเมินอยู่ในระดับที่น้อยที่สุดคือ มีค่าเฉลี่ย ( = 3.55)

ตอนที่ 5  ผลการวิเคราะห์ข้อมูลประเมินผลการใช้แอพพลิเคชั่นในด้านคุณค่าโดยสรุป
              สรุปภาพรวมผลการวิเคราะห์ข้อมูลความพึงพอใจในการใช้แอพพลิเคชั่นควบคุมพัดลม มีดังนี้
              ตารางที่ 8  แสดงผลการวิเคราะห์ข้อมูลประเมินผลการใช้แอพพลิเคชั่นควบคุมพัดลมในด้านคุณค่าโดยสรุป

              จากตารางที่ 8 ความพึงพอใจในการการใช้แอพพลิเคชั่นควบคุมพัดลม ด้านคุณค่าโดยสรุป มีความคิดเห็นอยู่ในระดับพึงพอใจมาก ( = 3.90) เมื่อพิจารณาเป็นรายการประเมินในแต่ละด้าน พบว่า ด้านความเหมาะสมด้านการใช้งานเป็นรายการประเมินอยู่ในระดับมากที่สุด มีค่าเฉลี่ย ( = 3.95) และในความพึงพอใจของระบบที่นำมาติดตั้งมีความเหมาะสมเป็นรายการประเมินอยู่ในระดับที่น้อยที่สุดคือ มีค่าเฉลี่ย  ( = 3.85)

ตอนที่ 6  ผลการวิเคราะห์ข้อมูลประเมินผลการใช้แอพพลิเคชั่นในภาพรวมทุกด้าน
              สรุปภาพรวมผลการวิเคราะห์ข้อมูลความพึงพอใจในแอพพลิเคชั่นควบคุมพัดลม มีดังนี้
ตารางที่ 9  แสดงผลการวิเคราะห์ข้อมูลประเมินผลการใช้ในภาพรวมทุกด้าน

              จากตารางที่ 4.6 ความพึงพอใจในการการใช้แอพพลิเคชั่นควบคุมพัดลมโดยภาพรวมทุกด้าน มีความคิดเห็นอยู่ในระดับ มาก  (=3.94) เมื่อพิจารณาเป็นรายการประเมินในแต่ละด้าน พบว่า ด้านการใช้งาน มีค่าเฉลี่ยสูงสุด คือ (= 4.00)  และในด้านคุณค่าโดยสรุป มีค่าเฉลี่ยที่น้อยที่สุด  (= 3.90)
11. การอภิปรายผล หรือการวิจารณ์และสรุป
          จากผลการสร้างและพัฒนาแอพพลิเคชั่นควบคุมพัดลม พบว่าแอพพลิเคชั่นนั้นสามารถใช้งานได้จริงและเป็นประโยชน์ต่อการใช้งานเป็นอย่างมาก จุดเด่นของโปรแกรมคือ สามารถควบคุมการทำงานของพัดลม ไม่ว่าจะเป็นการเปิดพัดลม เร่งความแรงของพัดลม ปิดพัดลมรวมไปจนถึงการทำให้พัดลมสวิงได้ ซึ่งสะดวกกว่าการลุกไปกดที่ตัวพัดลมเป็นอย่างมาก จุดด้อยของแอพพลิเคชั่นจากข้อเสนอแนะของกลุ่มประชากรตัวอย่างและจากผลการใช้งานทำให้สรุปข้อด้อยของแอพพลิเคชั่น คือ หากจะทำการใช้งานแอพพลิเคชั่นนั้นไม่สามารถออกห่างจากพัดลมได้ไกลจนเกินไป เพราะว่าตัว Module Bluetooth นั้นไม่สามารถรับส่งสัญญาณบลูทูธได้ไม่เกิน 10 เมตร หากตัวแอพพลิเคชั่นที่ทำการเชื่อมต่อกันนั้นอยู่ห่างจากระยะจนเกินไปก็จะไม่สามารถควบคุมพัดลมได้ นอกจากจุดเด่นและจุดด้อยของแอพพลิเคชั่นยังมีในด้านโครงสร้าง ด้านการทำงานทั้งหมดอยู่ในระดับมากเพราะแอพพลิเคชั่นสามารถตอบสนองความต้องการของผู้ใช้งานทุกอย่างตามที่ผู้จัดทำได้วิเคราะห์และออกแบบแอพพลิเคชั่นควบคุมพัดลม ทำให้ผู้จัดทำได้เห็นถึงความสำคัญของการวิเคราะห์และออกแบบแอพพลิเคชั่นควบคุมพัดลมเป็นอย่างมากเพราะในการออกแบบระบบทุกครั้งจะต้องคำนึงถึงความต้องการของผู้ใช้เป็นหลัก
12. ข้อเสนอแนะ
1  ข้อเสนอแนะในการนำไปใช้
    1.1)  ไม่ควรออกห่างจากพัดลมไม่เกิน 10 เมตร
    1.2)  ควรศึกษาวิธีการใช้งานของแอพพลิเคชั่นก่อนใช้งาน
2  ข้อเสนอแนะเพื่อการวิจัยครั้งต่อไป
    2.1)  ควรเพิ่มระยะการใช้งานให้ได้ระยะมากกว่านี้
    2.2)  ควรทำให้ตัวพัดลมกินไฟน้อยลง
 
13. บรรณานุกรม
นนท์ปวิธ นุชโพธิ์.  เครื่องเปิดประตูด้วยโทรศัพท์ระบบแอนดรอยด์.  กรุงเทพฯ : มหาวิทยาลัย
             เทคโนโลยีพระจอมเกล้าธนบุรี. 2556
บรรฑูรณ์ สิงห์ดี.  การวิจัยและพัฒนาสื่อแอพพลิเคชั่นบนแท็บเล็ตระบบปฏิบัติการแอนดรอยด์. 
             เชียงใหม่ : มหาวิทยาลัยราชภัฏเชียงใหม่.  2558
ระดมพล ช่วยชูชาติ.  ผลการใช้แอปพลิเคชั่นบทเรียนอิเล็กทรอนิกส์บนระบบปฏิบัติการแอน
             ดรอยด์. กรุงเทพฯ : มหาวิทยาลัยเทคโนโลยีพระจอมเกล้าธนบุรี. 2556
เอกสิทธิ์ เทียมแก้ว.  การพัฒนาแอพพลิเคชั่นเพื่อการเรียนรู้บนระบบปฏิบัติการแอนดรอยด์ 
             ลำพูน : โรงเรียนทาขุนเงินวิทยาคารจังหวัดลำพูน.  2557
14. ประวัติผู้จัดทำโครงการ
                                    
ชื่อ-สกุล
         นายธนกร คำชื่น
เกิดเมื่อวันที่       6 พฤษภาคม 2539
ที่อยู่ปัจจุบัน       259/1 หมู่3 ต.บ้านหนุน อ.สอง จ.แพร่ 54120
วุฒิการศึกษา     ปัจจุบันกำลังศึกษาอยู่ในระดับประกาศนียบัตรวิชาชีพชั้นสูง (ปวส.) 
                 สาขาวิชาเทคโนโลยีคอมพิวเตอร์ สาขางานคอมพิวเตอร์ซอฟต์แวร์ 
เบอร์โทร          088-2369715
อีเมล์             mister.gotx13@hotmail.com

                                    
ชื่อ-สกุล          นายนนทวัฒน์ สีเทา
เกิดเมื่อวันที่       1 ธันวาคม 2539
ที่อยู่ปัจจุบัน       95 หมู่ 2 ต.ป่าแดง อ.เมือง จ.แพร่ 54000
วุฒิการศึกษา      ปัจจุบันกำลังศึกษาอยู่ในระดับประกาศนียบัตรวิชาชีพชั้นสูง (ปวส.) 
                  สาขาวิชาเทคโนโลยีคอมพิวเตอร์ สาขางานคอมพิวเตอร์ซอฟต์แวร์ 
เบอร์โทร           082-7971214
อีเมล์              iydgmvohk1@gmail.com

 
ลิงค์ Youtube vdo